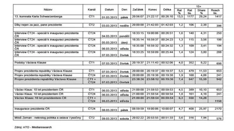
Desítku pořadů věnovala minulý týden Česká televize střídání ve funkci prezidenta republiky. Absolutně největší zásah divácké pozornosti (2 170 000 diváků) měl páteční Inaugurační speciál ČT24, přičemž nejvíce diváků jej sledovalo během vojenské přehlídky (907 tisíc diváků) a inauguračního projevu Miloše Zemana (849 tisíc diváků). Z celého tematického vysílání České televize k výměně prezidentů byla divácky nejúspěšnější 13. komnata Karla Schwarzenberga s 1 177 000 diváků.
Největší zásah ze všech nabízených pořadů měl desetihodinový speciál zpravodajského kanálu ČT24 Inaugurace prezidenta vysílaný v pátek 8. března od 9 do 19 hodin střídavě z Kavčích hor, kde ho moderoval Václav Moravec, a Pražského hradu, kde dění komentovali Jakub Železný a Daniela Písařovicová. Průměrná sledovanost pořadu byla 408 tisíc diváků starších 15 let. Pořad tak sledoval v průměru každý čtvrtý dospělý divák v danou dobu u televizoru (podíl na publiku neboli také share 25,97 procenta). Divácký zásah měl speciál podstatně vyšší: Alespoň tři minuty kontinuálně desetihodinový speciál ČT24 naladilo 2 170 000 diváků.
Největší počet diváků během pátečního vysílání přitom přilákala hlavní část vojenské přehlídky a inaugurační projev Miloše Zemana. Hlavní část vojenské přehlídky vysílanou od 11:00 do 11:20 hod. sledovalo 907 tisíc diváků, což byly dvě třetiny diváků právě sledujících televizi (65,7 %). Inaugurační projev prezidenta Miloše Zemana vysílaný z Vladislavského sálu mezi 10:19 a 10:34 hod. sledovalo 849 tisíc, což představovalo podíl na aktuálním publiku 61,92 %. Česká televize byla ten den nejsledovanější televizí (ČT jako celek dosáhla podílu na TV trhu 37,40 %, z toho ČT24 dokázala vygenerovat 14,52 %).
Absolutně nejvíce diváků přilákala k obrazovkám 13. komnata Karla Schwarzenberga, která zahájila v pátek 1. března týdenní tematické vysílání České televize k výměně prezidentů. Pořad sledoval 1 177 000 diváků a stal se nejsledovanějším vydáním od října 2012.
Odcházející prezident Václav Klaus zaujal diváky ve středu 6. března hodinovým rozhovorem s Jakubem Železným a ve čtvrtek 7. března posledním projevem ve funkci prezidenta. Poslední rozhovor České televize s Václavem Klausem ve funkci prezidenta sledovalo v průměru 550 tisíc diváků s celkovým zásahem (alespoň tři minuty kontinuální sledovanosti) 1 150 000 diváků. Projev Václava Klause sledovalo na ČT1 a ČT24 647 tisíc dospělých diváků při podílu na publiku 15,59 % (v prvním vysílacím čase od 20 hodin sledovalo pořad na ČT1 v průměru 479 tisíc dospělých, na ČT24 dalších 168 tisíc dospělých). Také ve čtvrtek vysílaný pořad Podoby Václava Klause sledovalo v průměru 352 tisíc dospělých při podílu 8,22 %.
Více než tyto pořady zaujal diváky ve stejný den jiný publicistický pořad Máte slovo na téma vysoké ceny za elektřinu. Pořad vidělo v průměru 655 tisíc dospělých s podílem na publiku 17,65 %.
Sobotní dokument o Miloši Zemanovi vysílaný od 20:00 na ČT2 vidělo 316 tisíc diváků při podílu na publiku 7,94 % diváků. Celotýdenní Interview ČT24 – speciál k inauguraci prezidenta ČR (denně od 4. 3. do 7. 3. na ČT24) sledoval obvyklý počet diváků (průměrná sledovanost pořadu Interview ČT24 v roce 2013 128 tis. dospělých diváků při podílu na publiku 3,95 procenta).
Tematické vysílání k výměně prezidentů zařazené do vysílání od pátku 1. března do soboty 9. března zaujalo diváky méně než lednové předvolební prezidentské debaty. Pro srovnání: společnou prezidentskou superdebatu se všemi kandidáty vysílanou 10. ledna na ČT1 a ČT24 od 20 hodin sledoval 1 696 000 dospělých při podílu na publiku 42,84 procenta. Zásah této debaty byl 2 miliony 811 tisíc 15+. Tato debata se stala nejsledovanějším pořadem k prezidentským volbám obecně na všech televizích a v součtu za oba kanály též nejsledovanějším pořadem ČT od začátku roku.






