Podle britské premiérky Theresy Mayové byl při útoku na agenta Sergeje Skripala a jeho dceru použit nervový jed vojenského původu – prostředek známý pod ruskou přezdívkou Novičok. Patří do skupiny nervově paralytických látek vyvíjených v někdejším Sovětském svazu od 70. let minulého století.
Nervově paralytická látka Novičok byla svého času označována za nejmocnější chemickou zbraň světa, které se nic nevyrovná. Napsal to ruský list Kommersant s odvoláním na chemické experty, kteří se na vývoji substance podíleli. Londýn z útoku obviňuje Moskvu, ta to však popírá.
Za otrávení dvojího agenta Skripala, který nejprve pracoval pro ruskou a pak pro britskou tajnou službu, je podle prohlášení Mayové zodpovědné Rusko. A to buď přímo za tento čin, nebo za to, že dovolilo, aby se nervová látka dostala do rukou jiných. Mluvčí ruského ministerstva zahraničí Maria Zacharovová označila projev Mayové za pohádku a cirkusové představení.
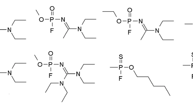
Látku Novičok (Nováček) podle Kommersantu vyvinuli pracovníci ruského Státního vědeckovýzkumného ústavu organické chemie a technologie (GNIIOChT) koncem 80. let minulého století. Dostali za ni prý Leninovu cenu, jedno z nejvyšších sovětských státních vyznamenání.
Novičok byl vyvinut v rámci tajného projektu Foliant jako takzvaná binární chemická zbraň, napsal Kommersant s odvoláním na slova jeho tvůrců Vladimira Ugleva a Vila Mirzajanova. Do „bojového stavu“ se látka uvádí těsně před použitím, když se spojí samostatně neškodné komponenty. Oficiálně vývoj takových látek zakazují mezinárodní smlouvy, podle ruského listu je ale získání důkazů o jejich výrobě krajně obtížné.
Ruské vedení loni koncem září oficiálně oznámilo, že veškeré své chemické zbraně v souladu s mezinárodními závazky zlikvidovalo.
Jediné kriminální použití látky Novičok bylo podle Kommersantu zjištěno v roce 1995, kdy byli otráveni bankéř Ivan Kivelidi a jeho sekretářka, když vrah substancí potřel sluchátko jejich telefonu. Při vyšetřování bylo zjištěno, že látku pachatel získal od pracovníka filiálky GNIIOChT ze Saratovské oblasti. Vrah se tehdy rovněž přiotrávil a podstoupil tajnou léčbu v Moskvě.
Podle bývalých ruských špionů, na které se Kommersant odvolává, je použití nervově paralytické látky považováno za špinavou metodu zabíjení, která se používá v situacích, kdy je zájem vyvolat pozornost veřejnosti. Při použití totiž vzniká značné riziko, že otrava postihne i jiné osoby. „Existují mnohem delikátnější způsoby, kterých využívají profesionálové,“ citoval ruský list své zdroje.
Odkud víme o tajné látce?
Informace o těchto látkách se na veřejnost dostaly počátkem 90. let díky dvěma ruským vědcům, Lvu Fjodorovovi a Vilu Mirzajanovi, kteří je popsali v tisku. Vznikly mimo jiné s cílem vyhnout se omezením vyplývajícím z Úmluvy o chemických zbraních. Právě proto, že se jako binární zbraň skládají z původně neškodných substancí.
Podle Mirzajanovových údajů probíhal vývoj Novičoku během sovětské éry na území Uzbekistánu. Tato činnost byla přitom maskována jako zkoumání nových pesticidů. Vývoj přitom – již v Rusku – pokračoval ještě nejméně na počátku 90. let.
- Za vlády čínské dynastie Sun před 4000 lety se používaly jako zbraně toxické dýmy z jedovatých rostlin.
- Při obléhání Platají ve 4. st. př. n. l. bylo použito látek vyvíjejících oxid siřičitý.
- Roku 1456 byl Bělehrad ubráněn při obléhání Turky s pomocí jedovatého oblaku, který vznikl hořením toxického prášku obsahujícího sloučeniny arzénu, kterým obránci města posypali krysy a hromadně je vypouštěli proti útočníkům.
- Při obléhání Karlštejna v r. 1422 do něj Pražané vedení Zikmundem Korybutovičem vrhli 1822 soudků s obsahem pražských žump. Sirovodík uvolněný z fekálií zřejmě způsobil intoxikace.
Jak zabíjí Novičok?
Novičok, na rozdíl od známějších nervových otravných látek, jako jsou sarin nebo VX, má podle dostupných údajů formu velmi jemného prášku. Existovat nicméně může i kapalná nebo plynná forma. Funguje podobně jako jiné nervově paralytické látky: vyřazuje z činnosti nervovou soustavu a u oběti tak nastává zástava dýchání a srdeční činnosti. Ve srovnání s plynem VX (použitým například vloni v únoru při otrávení Kim Čong-nama, bratra severokorejského prezidenta) je přibližně osmkrát účinnější.
Konkrétních údajů o Novičoku a příbuzných látkách je přitom veřejně známo jen málo. Uvádí se například, že mohou snadno překonat standardní protichemickou ochranu, dokážou pronikat pryžovým těsněním a překážkou pro ně nejspíše nejsou ani jinak účinné filtry s aktivním uhlím.
Novičok útočí na enzymy, které štěpí neurotransmiter acetylcholin. Ten je pro tělo nesmírně důležitý: zjednodušeně řečeno dává pokyny, co se má dít. A pokud je nějak zablokován, orgány v těle dostávají zmatené příkazy. V důsledku toho pak nefungují správně, svaly dostávají křeče a nedělají to, co mají.
Prvními příznaky působení bývají zúžení zorniček, pocení, poruchy peristaltiky. Po chvíli se přidají další příznaky: svalové křeče a poté paralýza. Člověk nakonec umírá kvůli nefunkčnosti dýchacích svalů nebo zástavě srdce – srdeční sval se zastaví, protože nedostává pokyn, aby pracoval.
Jak se bránit Novičoku?
Symptomy otravy se projevují lokálně okamžitě – tedy mezi 30 sekundami a dvěma minutami, k systémovému selhání dochází do osmnácti hodin, uvádí příručka Responding to Terrorism. Stejná publikace varuje, že některé druhy Novičoku mohou být speciálně navržené tak, aby byly odolné proti standardním léčbám používaným vůči nervovým látkám.
V první fázi jde o to, aby se podařilo co nejrychleji odstranit šaty zasažené osoby a kůže se opláchla vodou a mýdlem. Důležité je odstranit i případné kontaktní čočky a vypláchnout oči. Postižená osoba se musí zásobovat kyslíkem, je-li to nutné, tak i mechanicky. Co nejrychleji je také potřeba podat protilátky, podle lékařů by měly zabírat nejlépe:
- Atropin
- Pralidoxim
- Diazepam
- Kombinované léčebné látky
Přehled důležitých chemických a biologických zbraní:
BOTULOTOXIN (KLOBÁSOVÝ JED) – Produkují ho bakterie některého typu Clostridium botulinum, například v nedokonale připravených konzervách. Jeden miligram představuje 16 tisíc smrtelných dávek. Dá se aplikovat ve formě aerosolu, též pitnou vodou (bakterie jsou ale citlivé na chlor). Za jeden až tři dny způsobí dvojité vidění, potíže s řečí a polykáním a obrnu svalů s nebezpečím zadušení. Není-li včas aplikován antitoxin, člověk umírá.
PRAVÉ či ČERNÉ NEŠTOVICE (VARIOLA) – Virové onemocnění, jež se projevuje vysokými horečkami, krvácením a vyrážkou zanechávající výrazné jizvy, často končí smrtí. Pravé neštovice jsou mnohem nakažlivější než anthrax a v historii zahubily stovky milionů lidí. Koncem 70. let se díky očkování podařilo Světové zdravotnické organizaci (WHO) nemoc vymýtit. Povolení ke skladování virů varioly pod přísným dozorem WHO dostaly pouze laboratoř CDC v americké Atlantě a ruské středisko Vektor. Podle USA jsou ale viry pravých neštovic skladovány i v dalších laboratořích. Na vývoji nové formy varioly, jíž by bylo možné vyzbrojit mezikontinentální střely, údajně pracoval i bývalý Sovětský svaz.
RICIN – Mimořádně nebezpečný jed, nepříliš vhodný jako zbraň hromadného ničení. Dá se získat ze semen skočce obecného, jenž je běžnou lékárnickou a „průmyslovou“ rostlinou. Smrt nastává do tří dnů po požití či vdechnutí. Neexistuje proti němu protilátka.
YPERIT (HOŘČIČNÝ PLYN) – Kapalina nažloutlé až tmavohnědé barvy, se zápachem po česneku a hořčici. Proniká dřevem, kůží, tkaninami a působí v kapalném i plynném stavu. Obvykle není smrtelný, ale na pokožce vytváří puchýře a způsobuje dýchací problémy. Může být použit v dělostřelecké a letecké munici nebo rozstřikován z letadel.
SARIN – Vysoce toxická kapalná látka používaná jako nervově paralytická chemická zbraň. Její výroba je zakázána mezinárodní konvencí o nešíření chemických zbraní z roku 1993.











