Moderní metody předpovídání počasí jsou až neuvěřitelně přesné, a to přesto, že meteorologie je stará teprve asi sto let. Jak se stalo, že vědci dnes umí předpovídat, jak bude zítra, s pětadevadesátiprocentní pravděpodobností?
Začátky předpovídání počasí pocházejí z přelomu 19. a 20. století. Tehdy přišel norský vědec Vilhelm Bjerknes s myšlenkou předpovídat změny odehrávající se v atmosféře. Zabýval se tím, jak nejlépe zachytit a popsat její stávající stav a odhadnout budoucí vývoj.
Jeho obrovským přínosem pro budoucnost bylo, že specifikoval dvě důležité podmínky, které se později ukázaly jako zásadní a tvoří základ pro rozvoj numerické předpovědi počasí dodnes. K tomu, abychom byli schopni předpovídat počasí, musíme jednak dobře znát současný stav atmosféry, ale také musíme získat znalosti o tom, jak se atmosféra chová a proměňuje.
Až kolem roku 1920 se jako první v historii pokusil o ruční výpočet předpovědi počasí Lewis Fry Richardson. V té době žádné počítače, které by usnadnily a zrychlily práci, nebyly. Richardson navrhoval, že by mohly vzniknout jakési obrovské továrny s tisícovkami zaměstnanců, kteří by manuálně propočítávali, jak se bude počasí vyvíjet.
První počítač se začal stavět přibližně o 25 let později. Vážil 27 tun a princip, na kterém fungoval, vymyslel John von Neumann. Stavbu počítače Eniak si u něj objednala americká armáda. V té době ještě neexistovaly tranzistory a počítač byl sestaven z elektronek. Byl velký, těžký a spotřebovával obrovské množství elektřiny. Rychle se přehříval a musel být intenzivně chlazen.
Když se John von Neumann setkal s Julem Charneyem, autorem prvního numerického modelu, který využíval k výpočtu zjednodušené hydrodynamické rovnice, začaly se psát dějiny numerických předpovědí. Společným úsilím obou pánů vzniká v roce 1950 první numerická předpověď počasí.
Složité rovnice, na které člověk nestačil
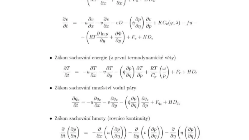
Úplný systém rovnic hydrodynamiky pro děje v atmosféře byl znám už v roce 1858. Studoval je německý matematik, fyzik, meteorolog a filozof v jedné osobě, Hermann Ludwig Ferdinand von Helmholtz. Uběhlo ale sto let, než byly tyto rovnice úspěšně použity v předpovědi počasí. Důvodem byla jejich složitost, a tím pádem možnost jejich výpočtu až s příchodem prvních počítačů.
Rovnice dynamiky atmosféry počítají se třemi zákony: se zákonem zachování hybnosti, zákonem zachování hmoty a zákonem zachování energie. Když do rovnic doplníme informace o stávajícím stavu v atmosféře a rovnice budeme správně časově integrovat, výpočet nás posune – zjednodušeně řečeno – do budoucnosti.
Pro správný popis vývoje atmosféry musí model obsahovat posun tlakových polí větrem a Rossbyho vlny. Tyto dva mechanismy úspěšně integrovala skupina amerických meteorologů do počítače Eniak po roce 1950.
Rossbyho vlny jsou vlny v horizontální rovině, které jako první popsal švédský meteorolog Carl-Gustav Arvid Rossby v roce 1940. Jedná se o vlny ovlivněné změnou Coriolisovy síly se zeměpisnou šířkou – tyto vlny ovlivňují takzvané západní proudění. Jeho rozvlněním dochází ke vzniku a rozvoji brázd nízkého a výběžků vysokého tlaku vzduchu.
Ve středních zeměpisných šířkách převládá zonální přenos. To znamená, že západní proudění posouvá tlakové útvary směrem k východu. Rossbyho vlny posunují tlakové útvary opačným směrem, od východu k západu, a to rychlostí, která závisí na jejich vlnové délce. Pohyb tlakových výší a níží je tím pádem dán součtem těchto dvou opačných rychlostí. Určit vývoj tlakového pole bez počítačů a jejich výpočtů je proto velmi složité.
Počítače všechno změnily
V šedesátých letech minulého století pokročila výpočetní technika i znalosti. Došlo ke zjednodušení rovnice zachování hybnosti ve vertikálním směru na hydrostatickou rovnici. Většina modelů v současnosti vychází ze shodné soustavy rovnic a modely se liší pouze fyzikálními parametry a schématy výpočtů.
Dnes by bez výkonných počítačů a numerických modelů žádná předpověď nevznikla, přičemž nikdy nekončící vývoj a další zdokonalování předpovědí počasí pokračuje.









